• Предмет: Алгебра
  • Автор: вкпа
  • Вопрос задан 8 лет назад

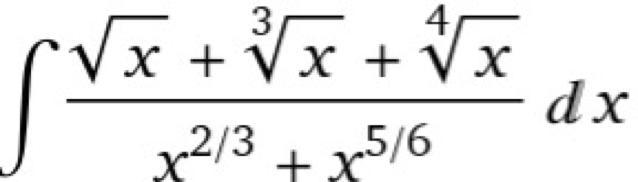
Решить интеграл на фото

Приложения:

Ответы

Ответ дал: bodan741
0

Ответ:

Объяснение:

Смотрите решение на фото.

Приложения:
Ответ дал: вкпа
0
Спасибо. А как вы узнали, что нужно использовать число 12?
Ответ дал: kmike21
0
куда испарился (1+t^2) из знаменателя?
Ответ дал: bodan741
0
Извините я ошибся, сейчас брошу верный ответ.
Ответ дал: bodan741
0
А 12 потому что, наименьшее общее кратное чисел 2,3,4,6.
Вас заинтересует