Ответы
Ответ дал:
0
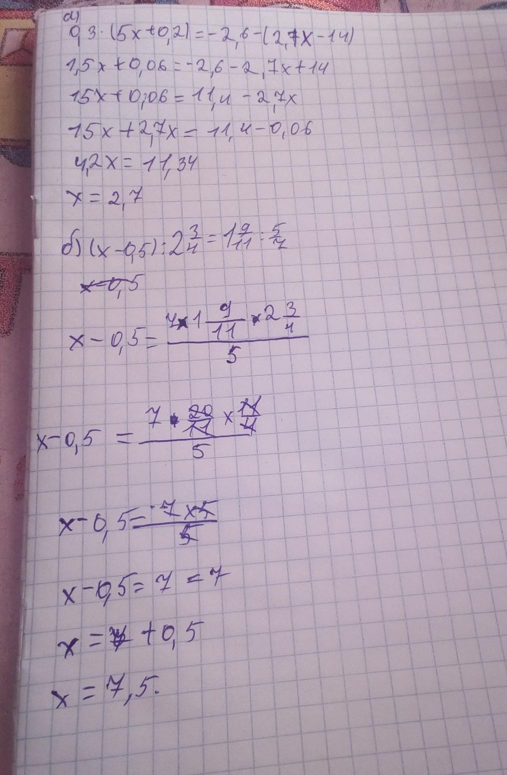
а)1,5x+0,06=-2,6-2,7x+1,4
1,5x+2,7x=1,4-2,6-0,06
4,2x=-1,26
x=-1,26/4,2
x=-0,3
б)(x - 0,5) * 5/7 = 20/11 * 11/4
(x - 0,5) * 5/7 = 20/4
x - 0,5 = 5 : 5/7
x = 7 + 0,5
x = 7,5
Ответ дал:
0
Готово.все решено)))
Приложения:

Вас заинтересует
2 года назад
3 года назад
3 года назад
8 лет назад
8 лет назад