• Предмет: Алгебра
  • Автор: ggbet82
  • Вопрос задан 8 лет назад

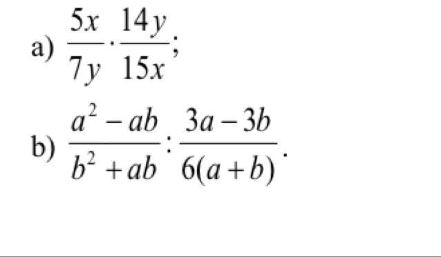
Выполните умножение и деление алгебраических дробей

Приложения:

Ответа на этот вопрос пока нет. Попробуйте найти его через форму поиска.

Вас заинтересует