АЛГЕБРА ОЧЕНЬ СРОЧНО!!!! ДАЮ 20 БАЛЛОВ ПОЖАЛУЙСТА ИЛИ БУДЕТ 2 по домашней работе! нужно решить три примера полностью расписать (желательно объяснить) Пример решения во второй фотографии! огромное спасибо :)
Приложения:

Ответы
Ответ дал:
0
Надеюсь будет понятно
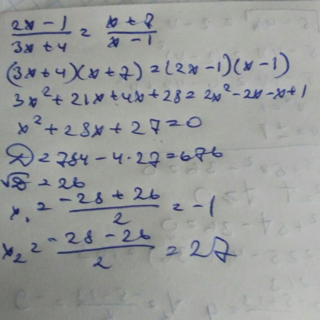
Приложения:


Ответ дал:
0
х2 в третьем примере равен не 27, а -27.
Ответ дал:
0
Ой прости
Ответ дал:
0
ничего страшного,бывает))
Ответ дал:
0
У меня так всегда. По жизни невнимательна, из-за этого постоянно снижают балы
Ответ дал:
0
Ответ:
Объяснение:
на снимке
Приложения:

Вас заинтересует
2 года назад
2 года назад
3 года назад
3 года назад
8 лет назад
9 лет назад