• Предмет: Математика
  • Автор: belka2095
  • Вопрос задан 8 лет назад

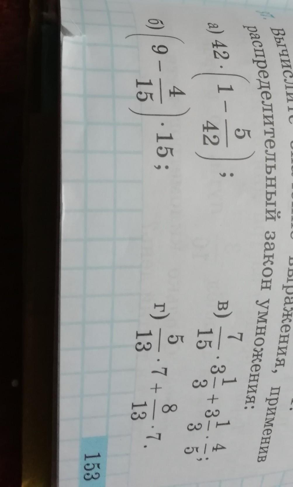
помогите решить дроби, задание 37,б,г​

Приложения:

Ответы

Ответ дал: dayana0502
0

Ответ:

аащаллададлалала ой извините

Ответ дал: jara24
0

Ответ:б) (9-4/15)*15=(8целых15/15-4/15)*15=8целых11/15*15=131*15 131

----- =---=131

15*1 1

г) 5/13*7+8/13*7=7*(5/13+8/13)=7*15/15=7*1=7

Пошаговое объяснение:кстати брат у меня тот же самый учебник для 5 класса только я сейчас по больше немного. Потом задачи будут лёгкими☺️

Вас заинтересует