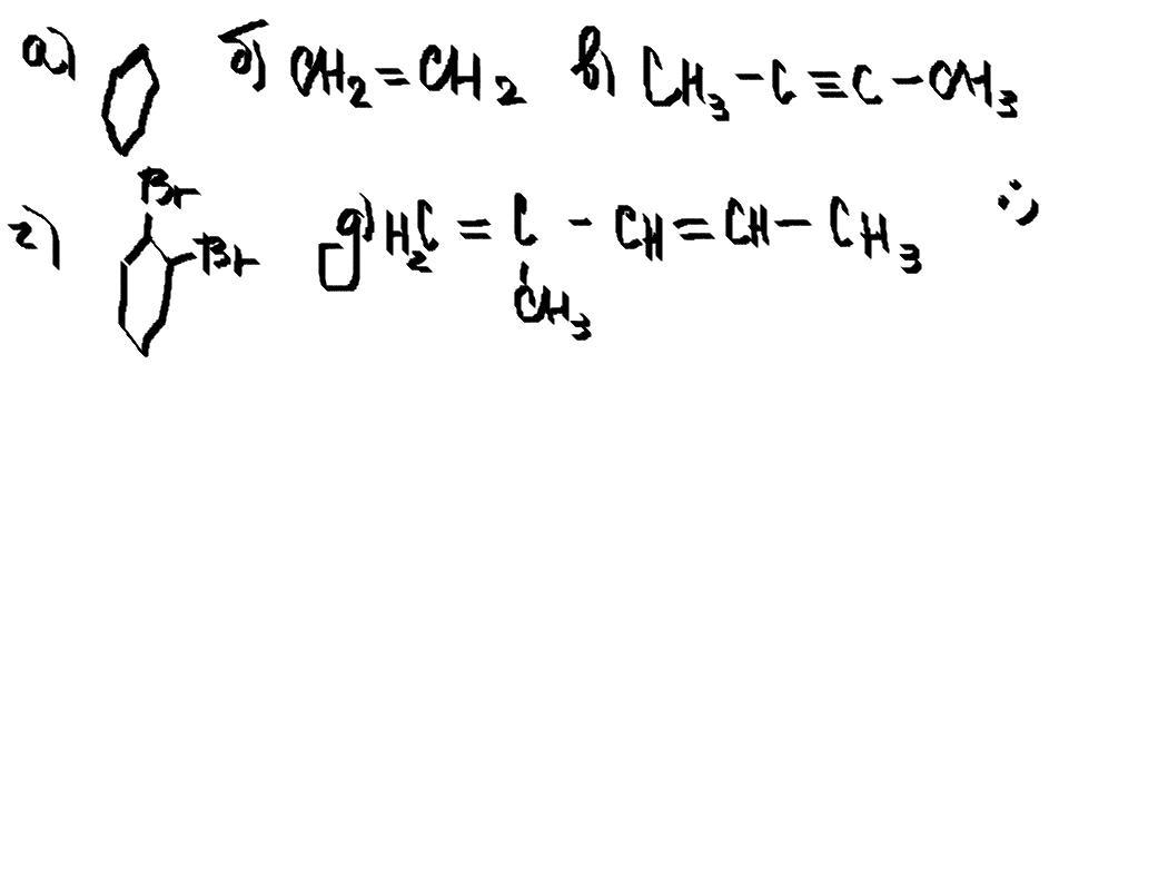
Постройте структурные форму веществ по их названиями: А) Циклогексан Б) Этилен В) Бутин - 2 Г) 1,2 Дибромбензол Д) 2 - Метилпентадиен - 1,3
Ответы
Ответ дал:
0
Ответ:........
Объяснение:
Приложения:

Вас заинтересует
2 года назад
3 года назад
3 года назад
8 лет назад
8 лет назад
9 лет назад