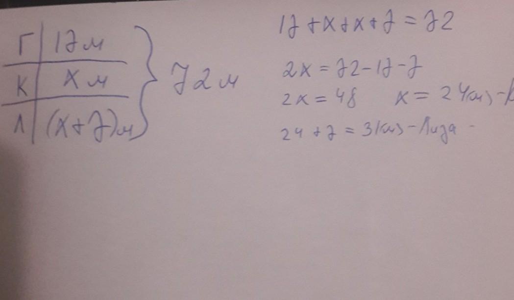
В соревнованиях по метанию мяча участвовали команда из 3 человек. Результаты всех участников команды складывались вместе. Общая сумма бросков Гали, Лизы и Кати составила 72 метра. Лиза метнула мяч на 7 метров дальше, чем Катя. Как далеко метнула каждая из девочек, если мяч Гали улетел на 17 метров?
Ответы
Ответ дал:
0
Ответ:
Катя- 24м
Лиза- 31м
Пошаговое объяснение:
прикрепила фото
Приложения:

Вас заинтересует
3 года назад
3 года назад
8 лет назад
9 лет назад