• Предмет: Алгебра
  • Автор: Nemodavid
  • Вопрос задан 8 лет назад

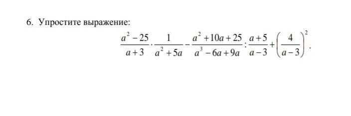
Соч по Алгебре срочно даю 30 баллов!! ​

Приложения:

Ответа на этот вопрос пока нет. Попробуйте найти его через форму поиска.

Вас заинтересует