Ответы
Ответ дал:
0
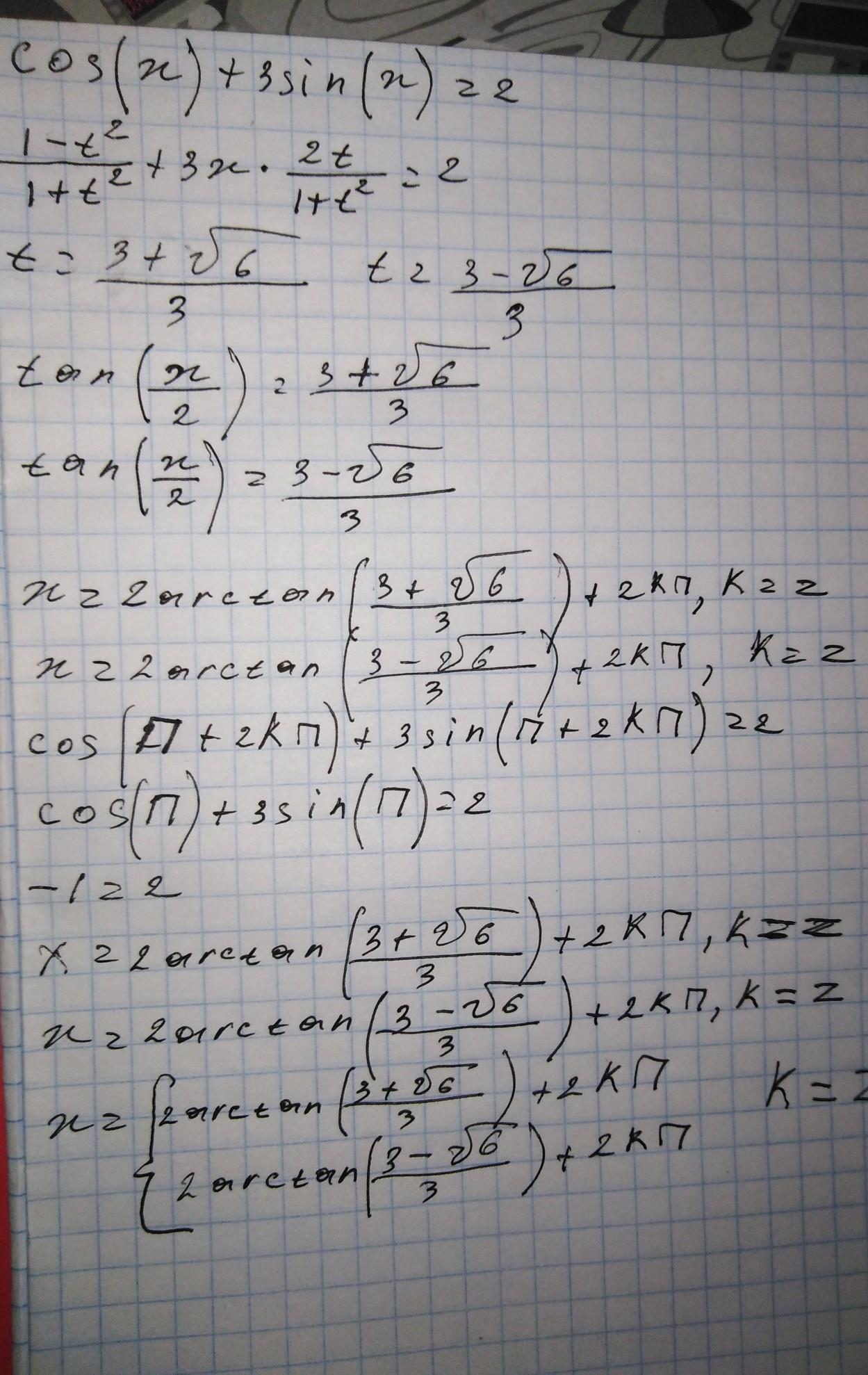
Вот фоткой, на здоровье, соре за такой куриный подчерк, лежа пишу
Приложения:

Ответ дал:
0
я первей ответила
Ответ дал:
0
и?
Ответ дал:
0
Фух..
Устала решать
Думаю ничего страшного что листок в линию
Приложения:

Вас заинтересует
2 года назад
2 года назад
3 года назад
3 года назад
8 лет назад
8 лет назад