• Предмет: Математика
  • Автор: ellidifans2345
  • Вопрос задан 8 лет назад

ПОМОГИТЕ!!
очень срочноо

Приложения:

Ответы

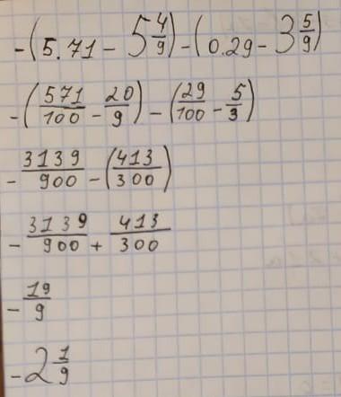
Ответ дал: BoniPoni
0

Извиняюсь за почерк...

Приложения:
Ответ дал: ellidifans2345
0
Спасибо большое! Почерк понятный)
Вас заинтересует