• Предмет: Математика
  • Автор: wang1822
  • Вопрос задан 8 лет назад

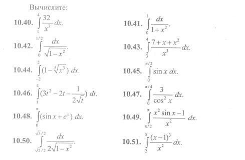
Пожалуйста помогите срочно. 10.47-10.50

Приложения:

Ответы

Ответ дал: diankapopova20
0

Ловите, надеюсь, это вы же в прошлом посте

Приложения:
Ответ дал: diankapopova20
0
Снова не то, обрезало одно задание
Вас заинтересует