• Предмет: Алгебра
  • Автор: Аноним
  • Вопрос задан 8 лет назад

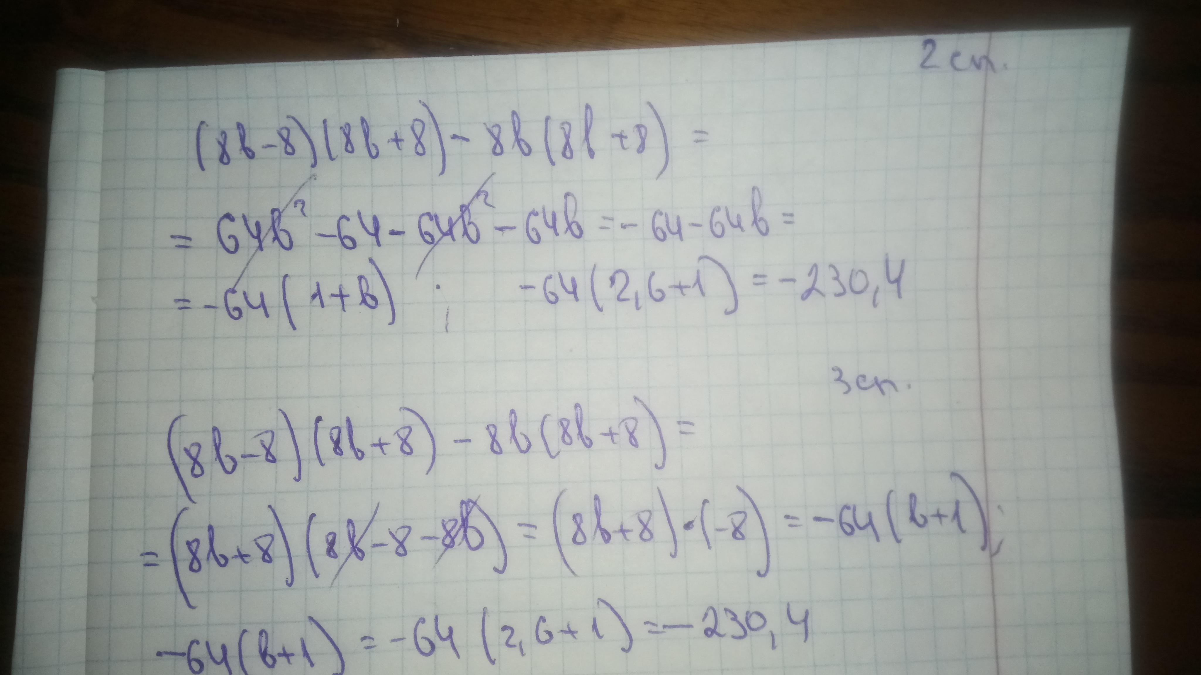
Найдите значение выражения ​

Приложения:

Ответы

Ответ дал: Dima2351562
0

(8в-8)•(8в+8)-8в(8в+8)= (8в+8)•(8в-8-8в)= 8(в+1)•(-8)= -8•8(в+1)= -64(в+1) при в = 2,6

-64(26,+1)=-64•3,6=-230,4

Ответ дал: valenivan
0

Решение задания приложено.

3 способа.

Приложения:
Вас заинтересует