• Предмет: Алгебра
  • Автор: omena20
  • Вопрос задан 8 лет назад

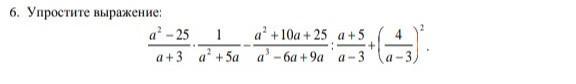
ДАЮ 5 БАЛЛОВ ИБО БОЛЬШЕ НЕТ. СРОЧНО!!! ПОЖАЛУЙСТА​

Приложения:

Ответа на этот вопрос пока нет. Попробуйте найти его через форму поиска.

Вас заинтересует