Ответы
                                            Ответ дал: 
                                                                                    
                                        
                                            
                                                
                                                
                                                
                                                    0
                                                
                                            
                                        
                                    Ответ:
Объяснение:
1) в - увеличится в 25 раз, т.к. знаменатель формулы  уменьшится в 5²=25 раз
2) а) уменьшится в 2 раза т.к. числитель уменьшится в 2 раза C=ε*ε₀*S/d
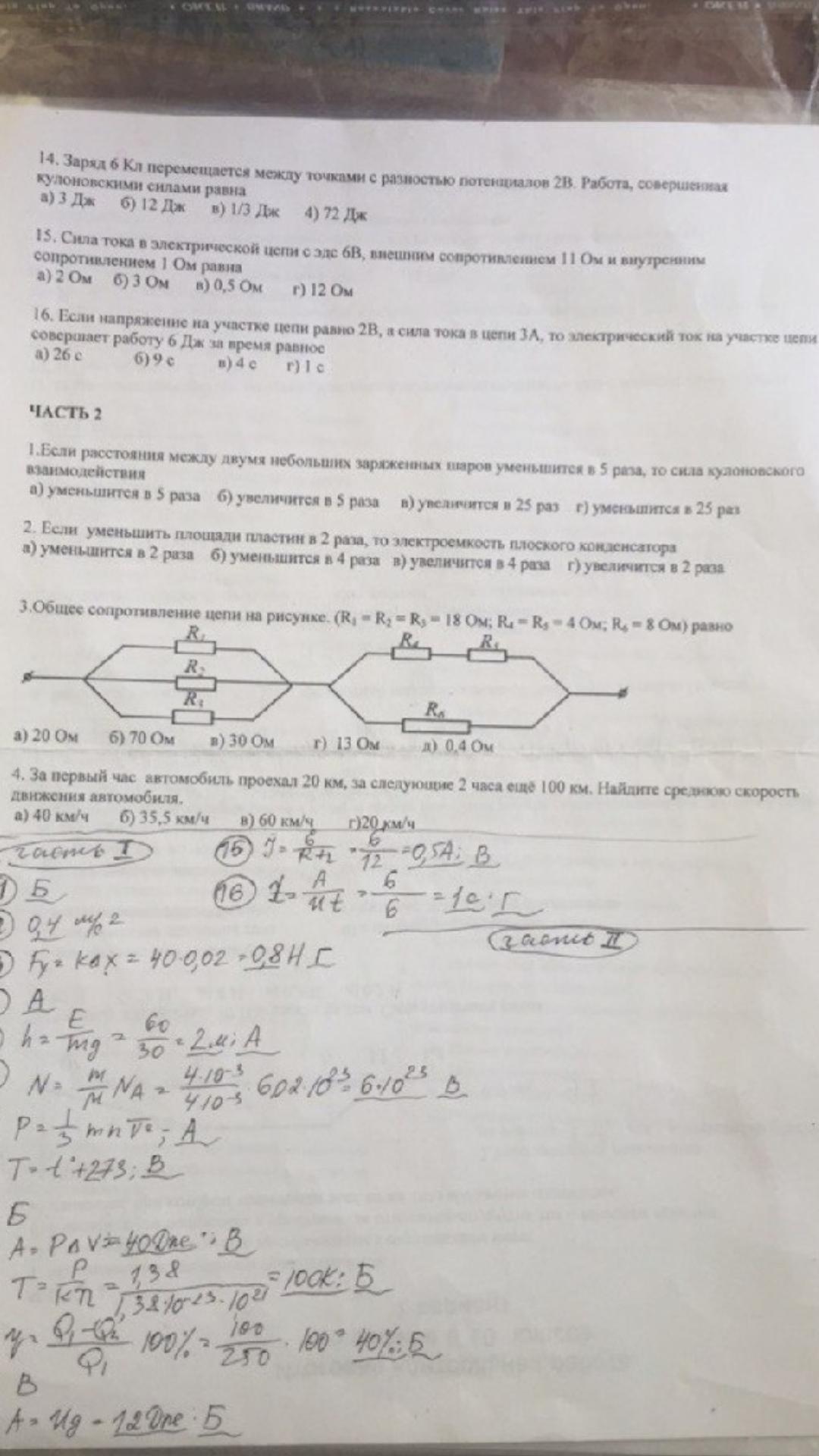
3) номера резисторов неразборчивы, но скорее всего ответ г) 13 Ом
4) Vср=(S1+S2)/(t1+t2)=(20+100)/(1+2)=120/3=40 км/час ответ а)
Вас заинтересует
                
                        2 года назад
                    
                
                        3 года назад