• Предмет: Математика
  • Автор: vzlomali2019
  • Вопрос задан 8 лет назад

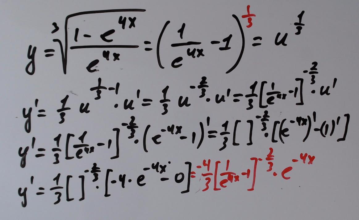
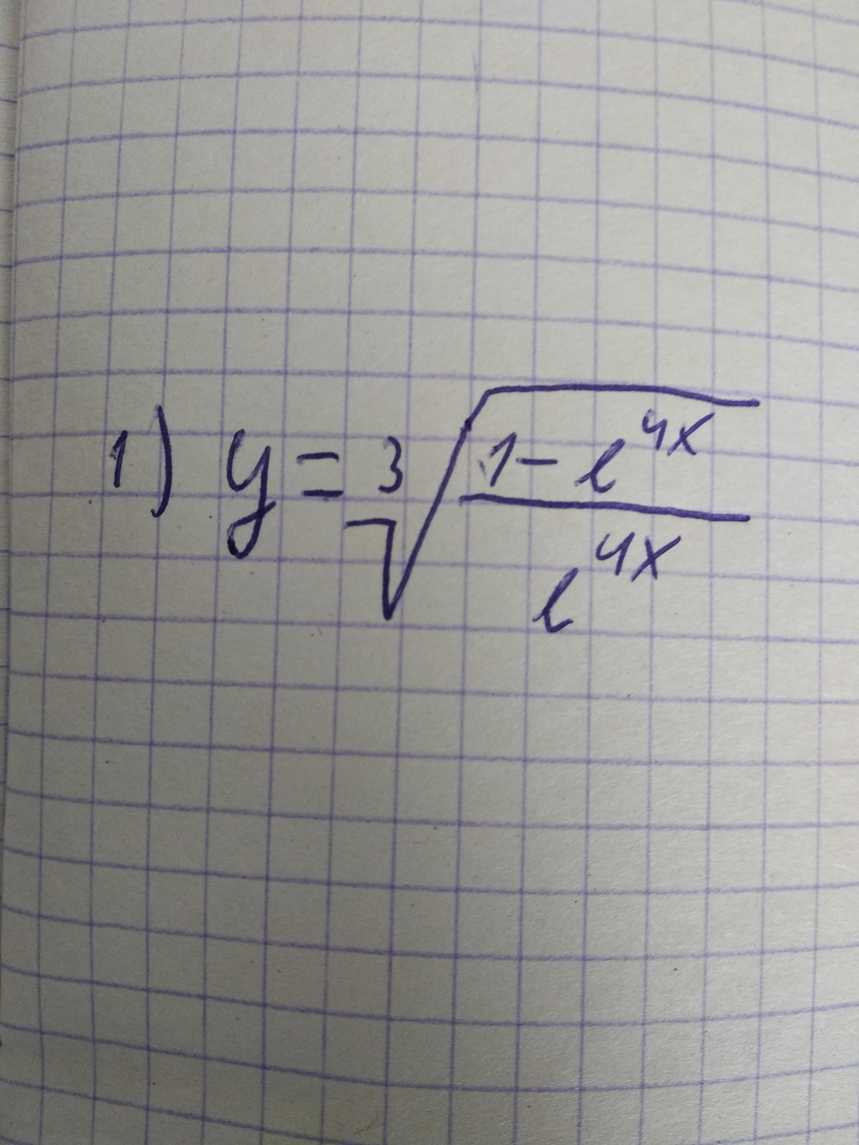
Найти производную:
Y=3√1-e^4x/e^4x

Приложения:

Ответы

Ответ дал: 102938456771
0

Ответ:

ответ на картинке

Пошаговое объяснение:

Приложения:
Вас заинтересует