• Предмет: Математика
  • Автор: poshelyuznajulia18
  • Вопрос задан 8 лет назад

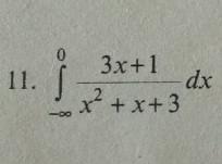
вычислить несобственный интеграл 1 рода, или установить его расхождение

Приложения:

Ответа на этот вопрос пока нет. Попробуйте найти его через форму поиска.

Вас заинтересует