Ответы
Ответ дал:
0
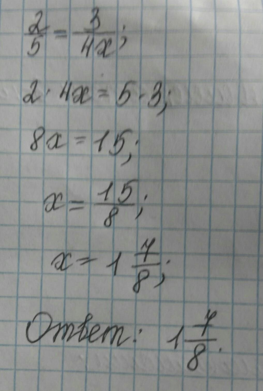
Решение на фото:
Объяснение:
Решаем как пропорцию, умножая крест накрест.
Приложения:

Вас заинтересует
2 года назад
3 года назад
3 года назад
8 лет назад
9 лет назад
9 лет назад