Ответы
Ответ дал:
0
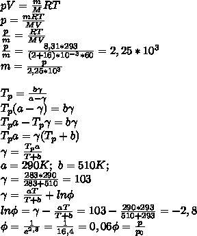
1)Дано: V=60 м^3, T=20 С=293К, T(р)=10 C=283К
Найти: m-?, φ-?
Ответ: 6,22*10^-2 кг, φ=0,06=6%
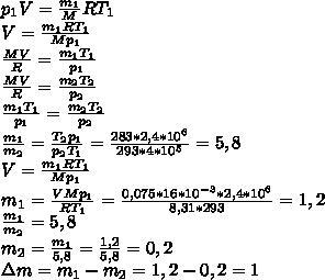
2)Дано:V=75л=0,075м^3, p1=2,4*10^6 Па, T1=293К, p2=4*10^5 Па, T2=283К
Найти: Δm-?
Решение:В данном масса непостоянна, т.к. горелка использует кислород для горения пропана.При объем - константа, емкость горелки не меняется, записываем два уравнения и приравниваем их через константы(объем, газовоя постоянная, молярная масса)
Ответ: 1 кг.
Приложения:


Вас заинтересует
2 года назад
2 года назад
3 года назад
3 года назад
8 лет назад
9 лет назад