• Предмет: Геометрия
  • Автор: sosplease22
  • Вопрос задан 8 лет назад

Помогите пожалуйста.​

Приложения:

Ответы

Ответ дал: сок111213
0

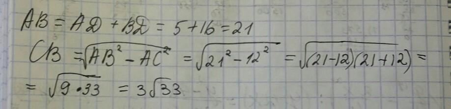
Решение на фотографии.

Приложения:
Ответ дал: sosplease22
0
Спасибо большое за помощь!
Вас заинтересует