• Предмет: Математика
  • Автор: sarapasel
  • Вопрос задан 8 лет назад

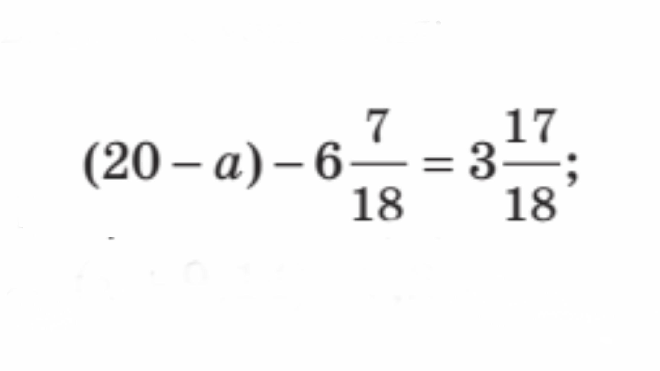
помогите пожалуйста решить

Приложения:

Ответы

Ответ дал: Artem0177
0

Ответ:

1) 6{7}{18}+3{17}{18}=10{1}{3} 2)10{1}{3}+20=30{1}{3}

Пошаговое объяснение:

Ответ дал: Artem0177
0
Вот так...
Вас заинтересует