Ответы
Ответ дал:
0
Ответ:
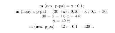
Обозначим исходное количество вещества в его 10 %-м растворе за х г. Тогда масса вещества в его 16 %-м растворе будет 30 + x г. Отсюда имеем:
ответ 420 г
Приложения:

Ответ дал:
0
*Ответ*;
420 грамм
Возможно ответ и неправильный.
Приложения:

Вас заинтересует
2 года назад
2 года назад
3 года назад
3 года назад
8 лет назад
8 лет назад
9 лет назад
9 лет назад