Ответы
Ответ дал:
0
Ответ:
Объяснение:
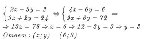
Решение внизу ↓↓↓↓↓↓↓↓↓
Приложения:

Ответ дал:
0
спасибо огромное
Ответ дал:
0
2x-3y=3+
3x+2y=24
6x-1y=27
Приложения:

Вас заинтересует
3 года назад
3 года назад
8 лет назад
8 лет назад