Ответы
Ответ дал:
0
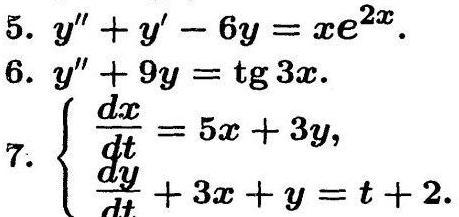
Рассмотрите предложенное решение (в №6 использовался метод вариации произвольных постоянных); проверка не проводилась.
Приложения:


Вас заинтересует
2 года назад
2 года назад
3 года назад
8 лет назад
9 лет назад