• Предмет: Алгебра
  • Автор: marinetteselavi
  • Вопрос задан 8 лет назад

Выполните сложение, помогите СРОЧНО

Приложения:

Ответы

Ответ дал: karinalox
0

Ответ:

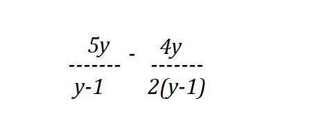
5у/у-1 - 4у/2(у-1) = 10у-4у/2(у-1) = 6у/2(у-1) = 3у/у-1

Объяснение:

Ответ дал: kaiji
0

Объяснение:

5y/y-1 - 2y/y-1.

3y/y-1. ответ

/- это черточка означает дробь

Вас заинтересует