• Предмет: Алгебра
  • Автор: eror49
  • Вопрос задан 8 лет назад

срочно!!!! решите систему неравенств: с объяснением!!​

Приложения:

Ответы

Ответ дал: sangers1959
0

Ответ:

Объяснение:

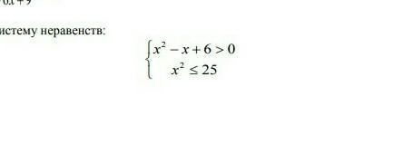
{x²-x+6>0      

{x²≤25

1)

x²-x+6>0

x²-2*x*0,5+6>0

x²-2*x*0,5+0,25+5,75.0

x²-2*x*0,5+0,5²+5,75>0

(x-0,5)²+5,75≡>0   ⇒    x∈(-∞;+∞).

2)

x²≤25

x²-25≤0

x²-5²≤0

(x+5)*(x-5)≤0

-∞__+__-5__-__5__+__+∞

x∈[-5;5].     ⇒

Ответ: x∈[-5;5].

Вас заинтересует