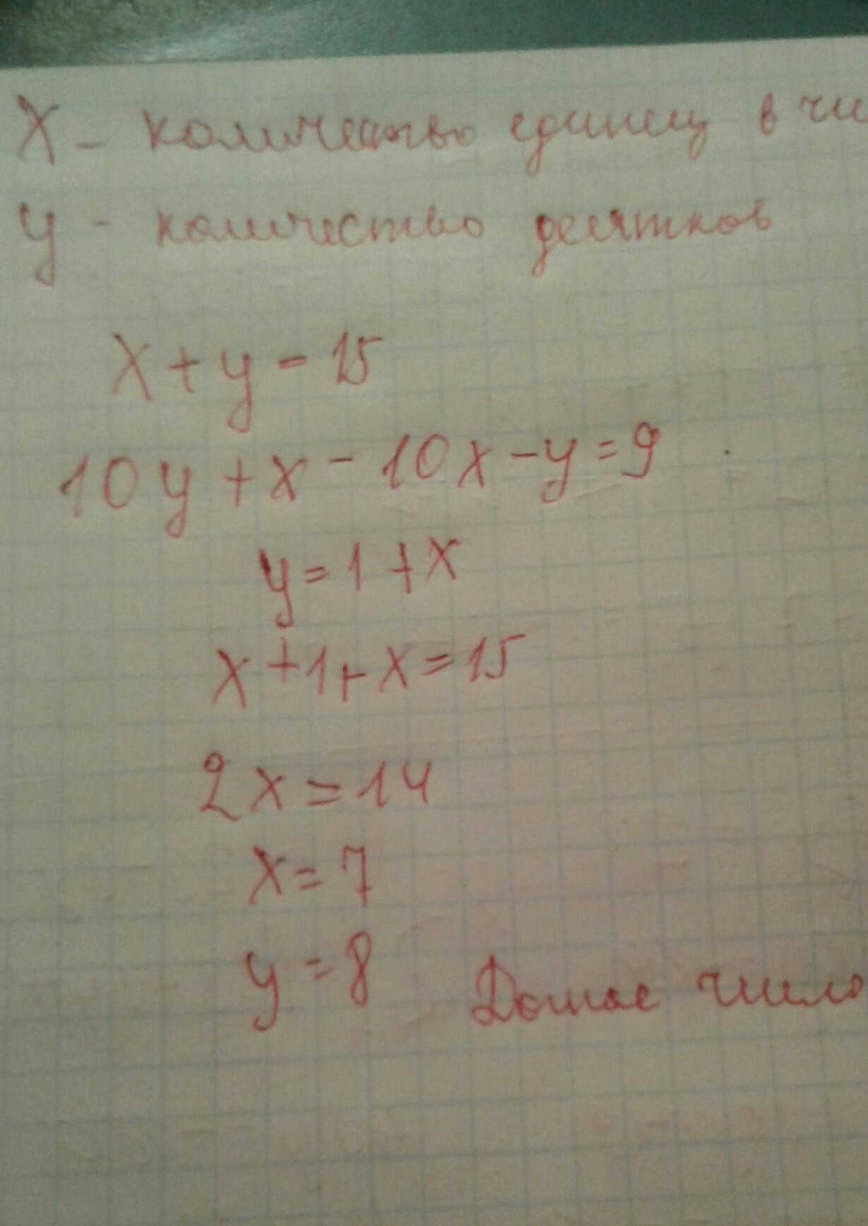
Сумма цифр двухзначного числа равна 15 . Если поменять его цифры местами , то шполучим число которое меньше данного на 9 . Найдите данное число
Спасибо за ранее!
Ответы
Ответ дал:
0
извините за освещение и почерк
Приложения:

Ответ дал:
0
Ответ:87
Пошаговое объяснение: 78+9=87.
Приложения:

Вас заинтересует
2 года назад
2 года назад
3 года назад
3 года назад
8 лет назад
8 лет назад