• Предмет: Алгебра
  • Автор: mashasss80
  • Вопрос задан 8 лет назад

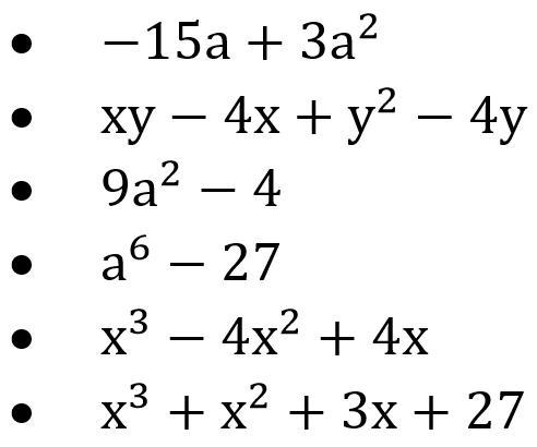
Разложите многочлены на множители
Очень надо))

Приложения:

Ответа на этот вопрос пока нет. Попробуйте найти его через форму поиска.

Вас заинтересует