• Предмет: Физика
  • Автор: epovski
  • Вопрос задан 8 лет назад

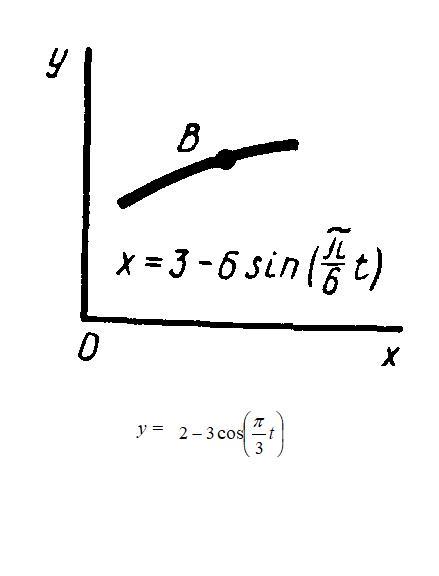
Точка В движется в плоскости ху (траектория точки на рисунках показана услов-но). Закон движения точки задан уравнениями: х = f1 (t), у = f2(t), (где х и у выражены в сантиметрах, t – в секундах.
Найти уравнение траектории точки; для момента времени t1 = 1 с определить скорость и ускорение точки, а также ее касательное и нормаль¬ное ускорения и радиус кривизны в этой точке траектории. Зависимость х = f1(t), указана непосредственно на схемах, а зависимость у = f2(t) дана в табл. 7.2. Кроме определения указанных величин, необходимо изобразить траекторию, определить положение точки в данный момент времени, изобразить вектор скорости и ускорения точки в заданный момент времени.
Указания. Эта задача относится к задачам о кинематике точки и решается с по-мощью формул, по которым определяются скорость и ускорение точки в декартовых координатах (координатный способ задания движе¬ния точки), а также формул, по ко-торым определяются касательное и нормальное ускорения точки.
В данной задаче все искомые величины нужно определить только для момента времени t1 = 1 с. В некоторых вариантах задачи при определении траектории или при последующих расчетах (для их упрощения) следует учесть известные из тригонометрии формулы: ;

Приложения:

Ответа на этот вопрос пока нет. Попробуйте найти его через форму поиска.

Вас заинтересует