• Предмет: Алгебра
  • Автор: kerya19994
  • Вопрос задан 8 лет назад

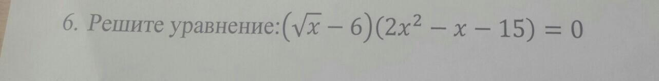
решите уравнение (√x-6(2x∧2-x-15)=0​

Приложения:

Ответа на этот вопрос пока нет. Попробуйте найти его через форму поиска.

Вас заинтересует
10 лет назад