• Предмет: Математика
  • Автор: шахмарданов
  • Вопрос задан 8 лет назад

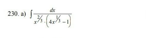
Найти неопределенный интеграл​

Приложения:

Ответа на этот вопрос пока нет. Попробуйте найти его через форму поиска.

Вас заинтересует