• Предмет: Математика
  • Автор: ZerkaloL
  • Вопрос задан 8 лет назад

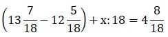
Помогите, пожалуйста. Даю 18 баллов

Приложения:

Ответа на этот вопрос пока нет. Попробуйте найти его через форму поиска.

Вас заинтересует