• Предмет: Математика
  • Автор: IaNeznaiy
  • Вопрос задан 8 лет назад

почему? даю 30 баллов помогите​

Приложения:

Ответы

Ответ дал: Andrey0488
0

фотофффффффффтфттфьф

Приложения:
Ответ дал: uncl95
0

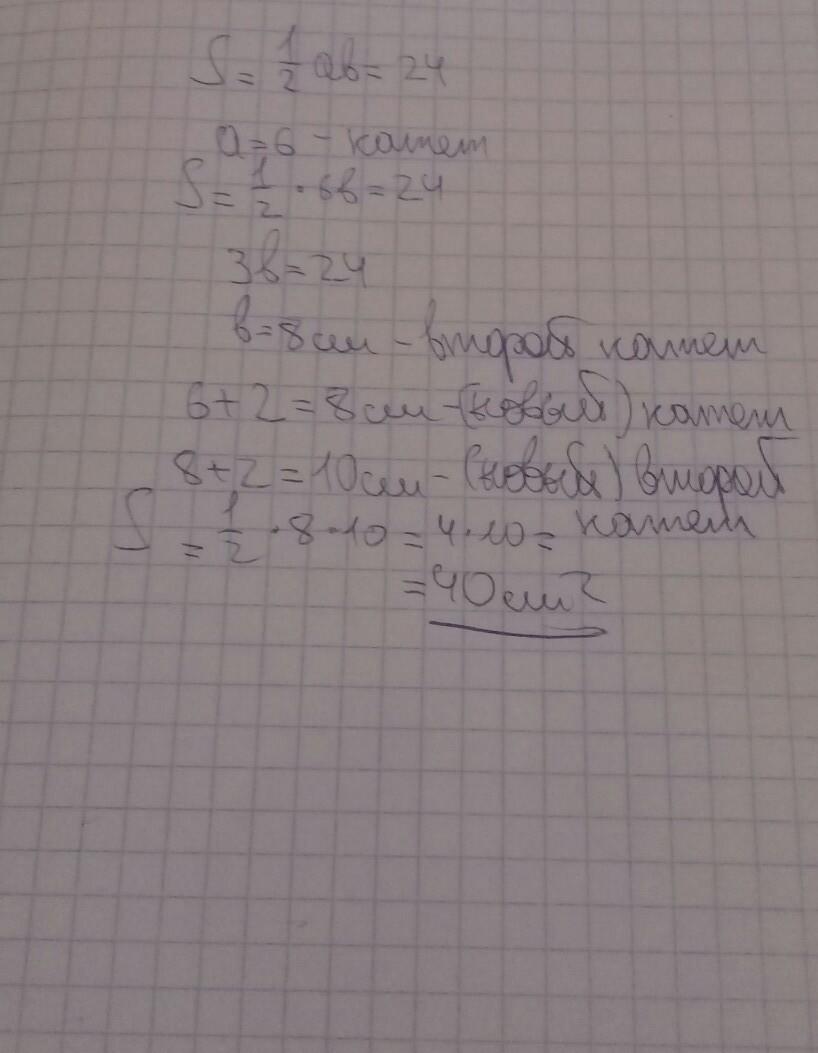
Ответ:

Пошаговое объяснение:

S=1/2a*b

1/2*6*b=24

3b=24

b=8

Если увеличить катеты на 2, получим

а=6+2=8

b=8+2=10

S=1/2*8*10

S=40 см²

Ответ  Г

Приложения:
Вас заинтересует