В рівнобедреному прямокутному трикутнику гіпотенуза дорівнює 3см. Чому дорівнюють катети цього трикутника. Помогите очень прошу
Ответы
Ответ дал:
0
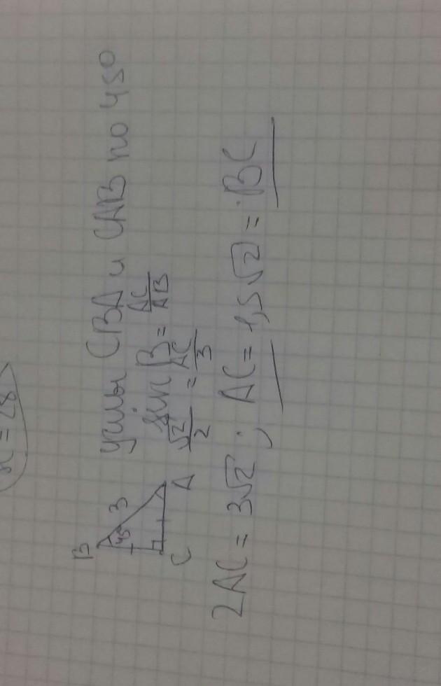
на фото/%/%/%/%/%/%/%/%/%
Приложения:

Ответ дал:
0
В рівнобедреному прямокутному трикутнику гіпотенуза дорівнює 3см. Чому дорівнюють катети цього трикутника. Помогите очень прошу
Вас заинтересует
2 года назад
2 года назад
3 года назад
8 лет назад
8 лет назад
9 лет назад