Ответы
Ответ дал:
0
Ответ:
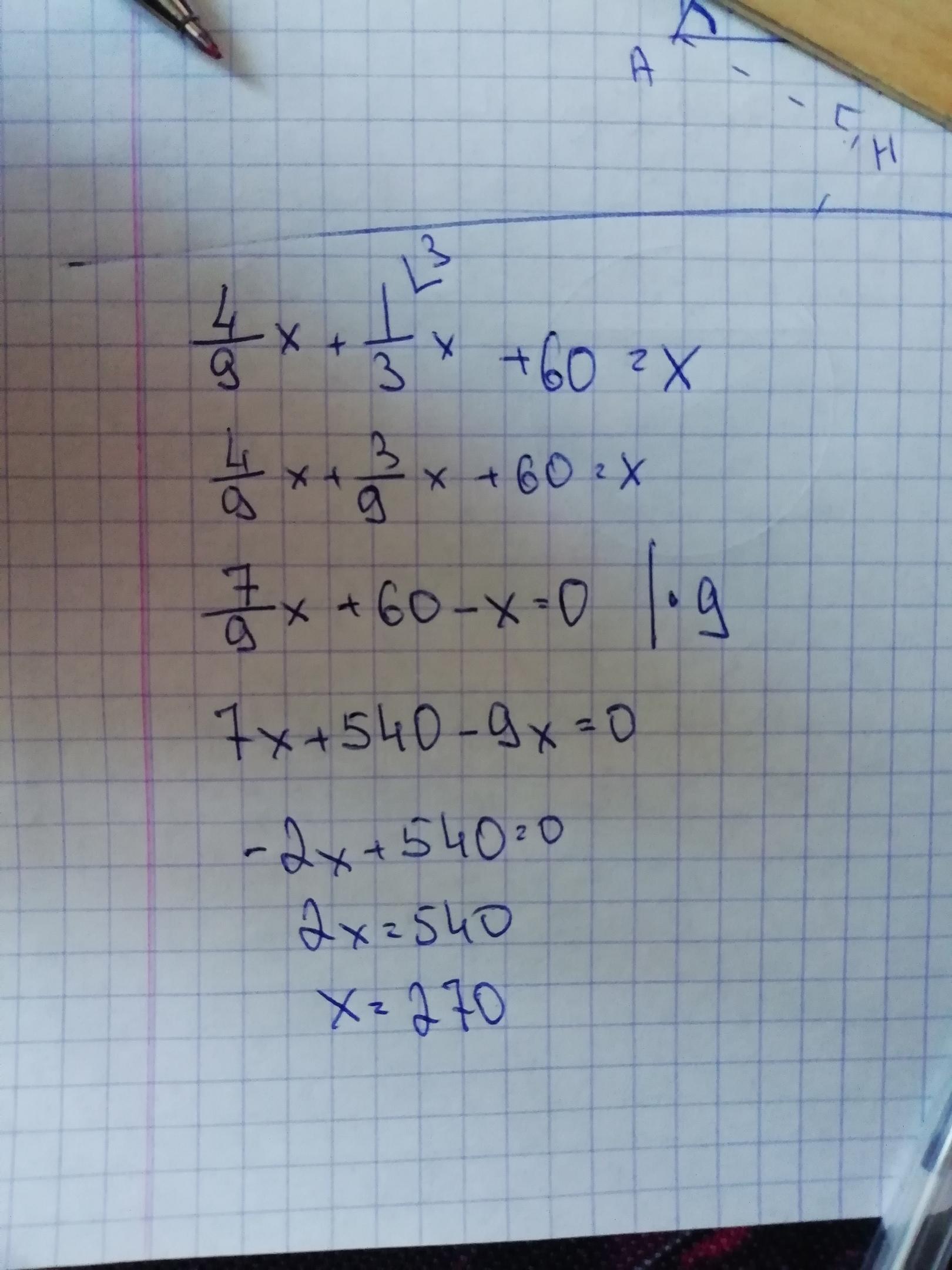
Пошаговое объяснение:
Приложения:

Ответ дал:
0
я числитель и знаменатель домножил на 3
Ответ дал:
0
чтобы выражения сложить , они должны иметь общий знаменатель
Ответ дал:
0
понятно
Ответ дал:
0
Спасибо
Ответ дал:
0
пожалуйста
Вас заинтересует
2 года назад
2 года назад
3 года назад
3 года назад
8 лет назад
8 лет назад
9 лет назад
9 лет назад