• Предмет: Математика
  • Автор: walterscot
  • Вопрос задан 8 лет назад

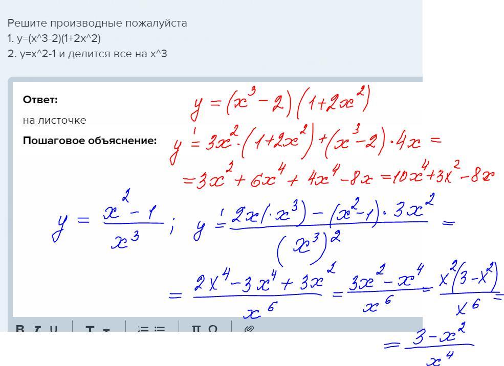
Решите производные пожалуйста
1. у=(х^3-2)(1+2х^2)
2. у=х^2-1 и делится все на х^3

Ответы

Ответ дал: vavdovina55
0

Ответ:

на листочке

Пошаговое объяснение:

Приложения:
Вас заинтересует