• Предмет: Математика
  • Автор: xenassi
  • Вопрос задан 8 лет назад

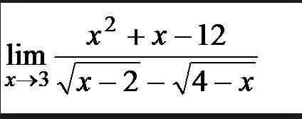
помогите решить пожалуйста

Приложения:

Ответа на этот вопрос пока нет. Попробуйте найти его через форму поиска.

Вас заинтересует