• Предмет: Математика
  • Автор: likoyou
  • Вопрос задан 8 лет назад

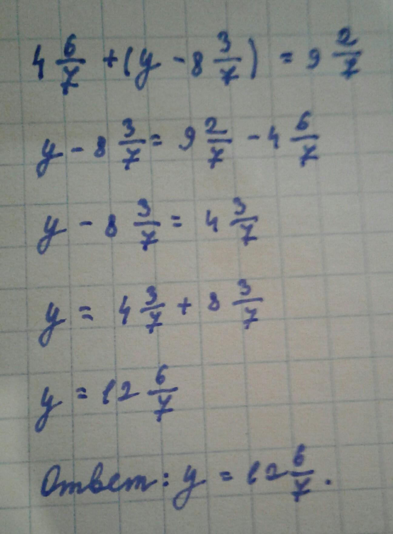
РЕШИТЕ УРАВНЕНИЕ:4 целых 6 седьмых+(у-8 целых 3 седьмых=9 целых 2 седьмых

Ответы

Ответ дал: sharovivan17
0

Ответ:

Пошаговое объяснение:

Приложения:
Ответ дал: milagaemer
0

ответ:12целых6седьмых

Приложения:
Вас заинтересует