• Предмет: Геометрия
  • Автор: megaryzhakov
  • Вопрос задан 8 лет назад

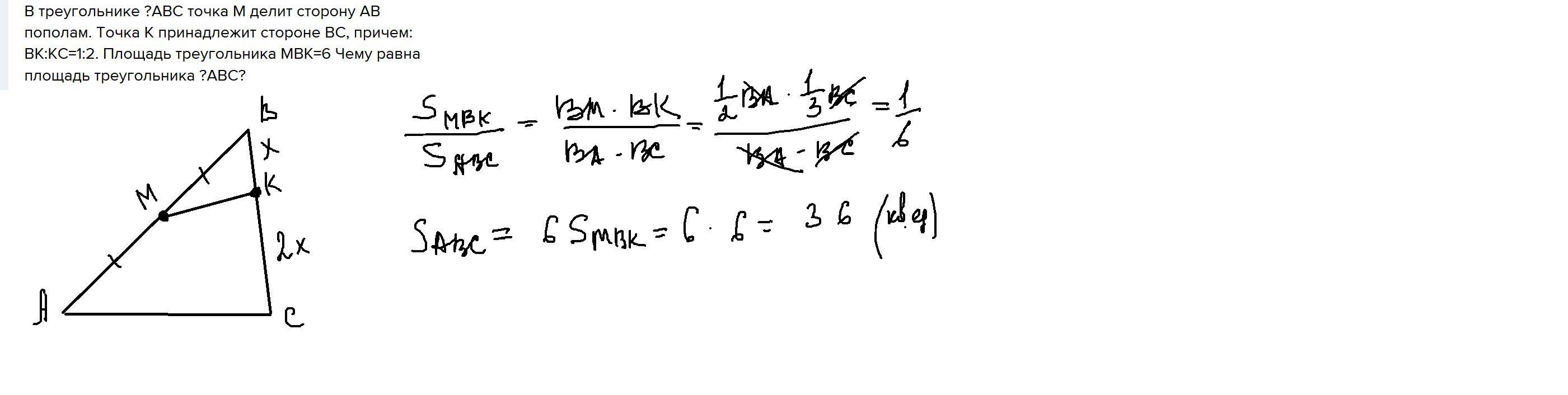
В треугольнике ?ABC точка M делит сторону AB пополам. Точка K принадлежит стороне BC, причем: BK:KC=1:2. Площадь треугольника MBK=6 Чему равна площадь треугольника ?ABC?

Ответы

Ответ дал: vikll
0

Ответ:

Объяснение:

В треугольнике ?ABC точка M делит сторону AB пополам. Точка K

Приложения:
Вас заинтересует