Ответы
Ответ дал:
0
Ответотвеответответответ
Приложения:

Ответ дал:
0
Ответ то какой?)
Ответ дал:
0
самая левая снизу
Ответ дал:
0
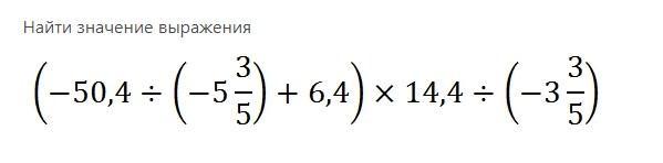
-61 3/5 ответ?
Ответ дал:
0
да
Ответ дал:
0
Спасибо
Ответ дал:
0
1) 50.4 : 5.6 +6.4
2)9+6.4=15.4
3)15.4*14.4=221.76
4)221.76 : - 3.6=-61.6
Приложения:

Вас заинтересует
2 года назад
3 года назад
3 года назад
8 лет назад
9 лет назад