• Предмет: Математика
  • Автор: Lolikknopik
  • Вопрос задан 8 лет назад

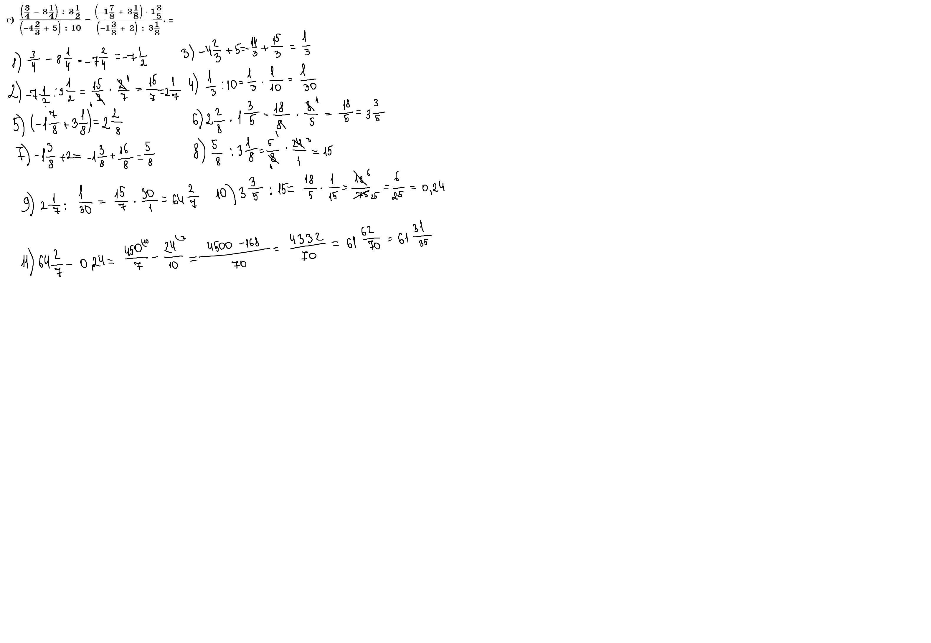
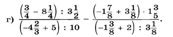
Помогите! Пожалуйста! Срочно! Дам 15 балов!!!

Приложения:

Ответы

Ответ дал: olga2004saj
0

Ответ:61целая 31/35

Пошаговое объяснение:

Я НЕ УВЕРЕНА В ЭТОМ РЕШЕНИИ И ОТВЕТАХ!!! ВОЗМОЖНО НЕВЕРНО!

Приложения:
Ответ дал: natalyabryukhova
0

Ответ:=====================================Пошаговое объяснение:

Приложения:
Вас заинтересует