Ответы
Ответ дал:
0
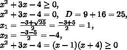
Используя метод интервалов, получаем решения уравнения:
ответ:
Приложения:



Вас заинтересует
2 года назад
3 года назад
3 года назад
8 лет назад
8 лет назад
9 лет назад