Ответы
Ответ дал:
0
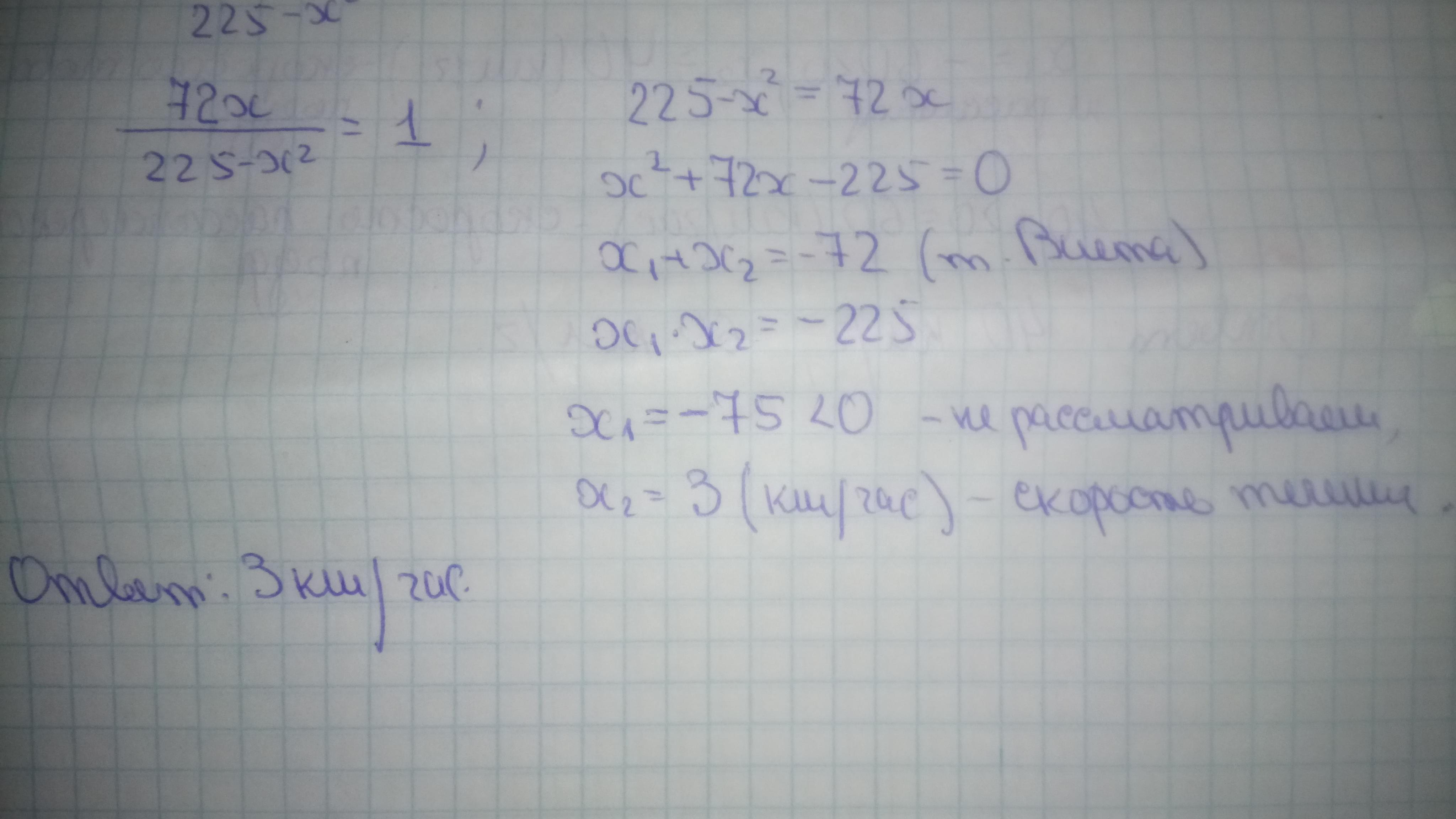
Пусть скорость течения=х км/ч, тогда скорость по течению=(15+х) км/ч, скорость против течения=(15-х) км/ч. Выразим время по течению и против течения:
Составим и решим уравнение:
-75 не подходит, т.к. скорость не может быть отрицательной, значит скорость течения равна 3 км/ч.
Ответ: 3 км/ч.
Ответ дал:
0
Решение задания приложено
Приложения:


Вас заинтересует
2 года назад
2 года назад
3 года назад
3 года назад
8 лет назад
8 лет назад