• Предмет: Математика
  • Автор: Manific
  • Вопрос задан 8 лет назад

ПОМОГИТЕ найти значения других трех основных тригонометрических функций, если

Приложения:

Ответы

Ответ дал: dubinushka24
0

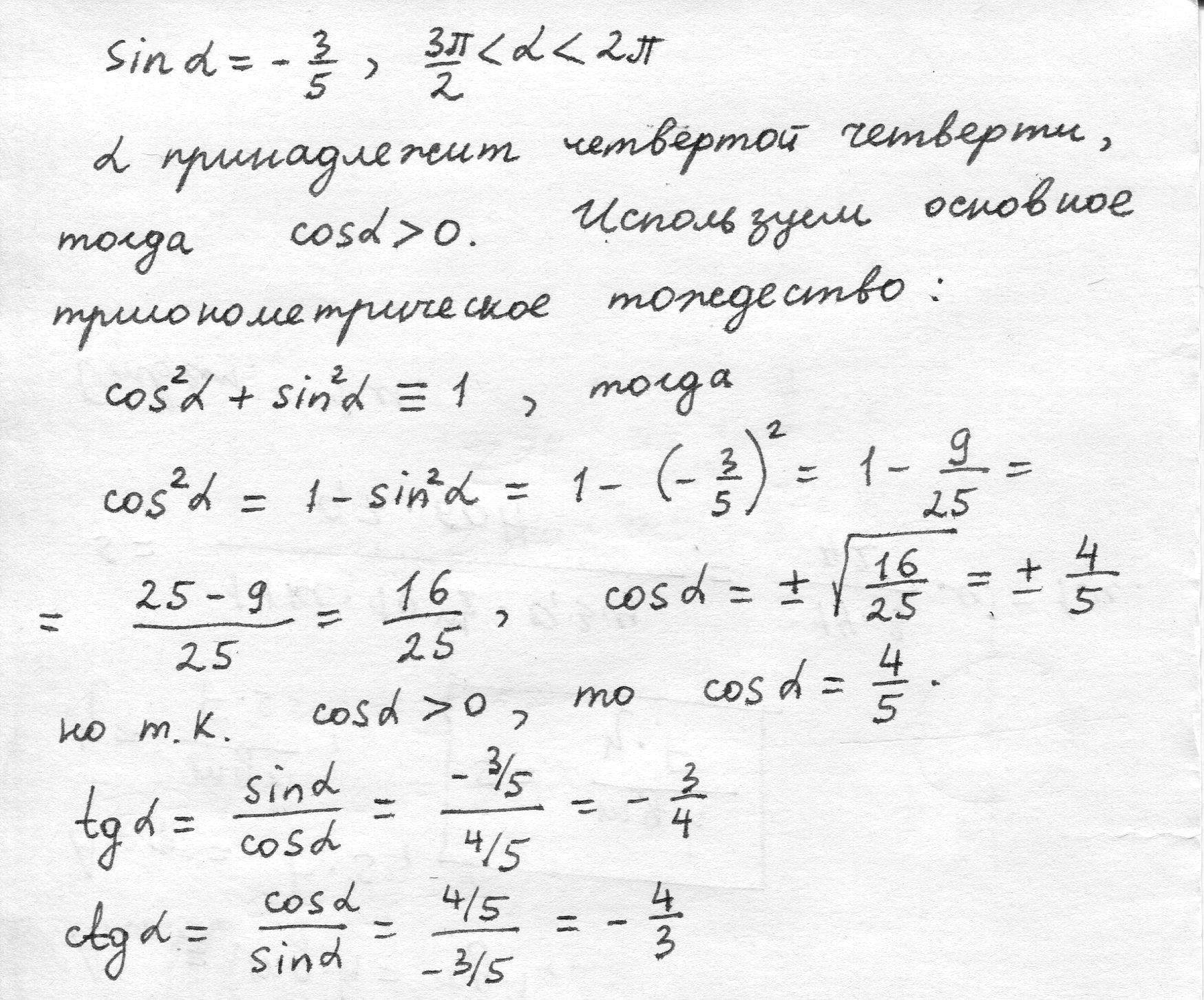
я написал решение на листочке ===>>

Приложения:
Ответ дал: takushnir
0

Дана 4 четверть, в ней косинус альфа положителен и равен корень квадратный из единица минус синус в квадрате.

√(1-9/25)√(16/25)=4/5

Тогда тангенс альфа равен отношению синуса альфа к косинусу альфа, т.е. (-3/5): (4/5)=-3/4

Тогда котангенс альфа равен -4/3 = - 1 целая и 1/3, т.к. тангенс альфа и котангенс альфа две взаимно обратные функции

Приложения:
Вас заинтересует