Ответы
Ответ дал:
0
Ответ:
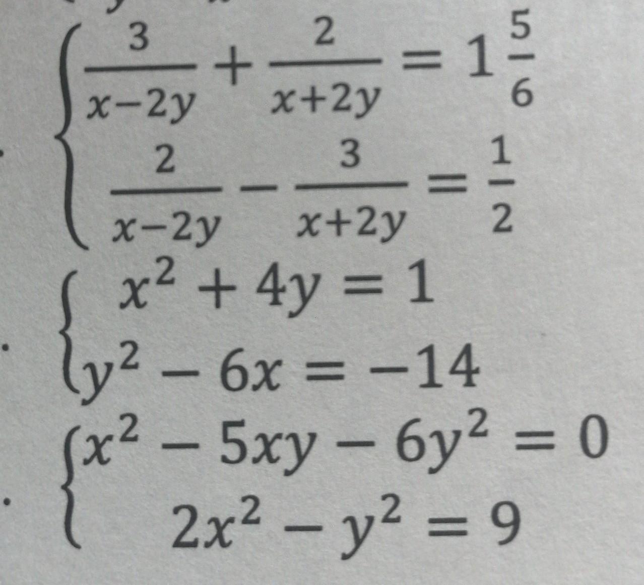
1) (4; 1)
2) (3; -2)
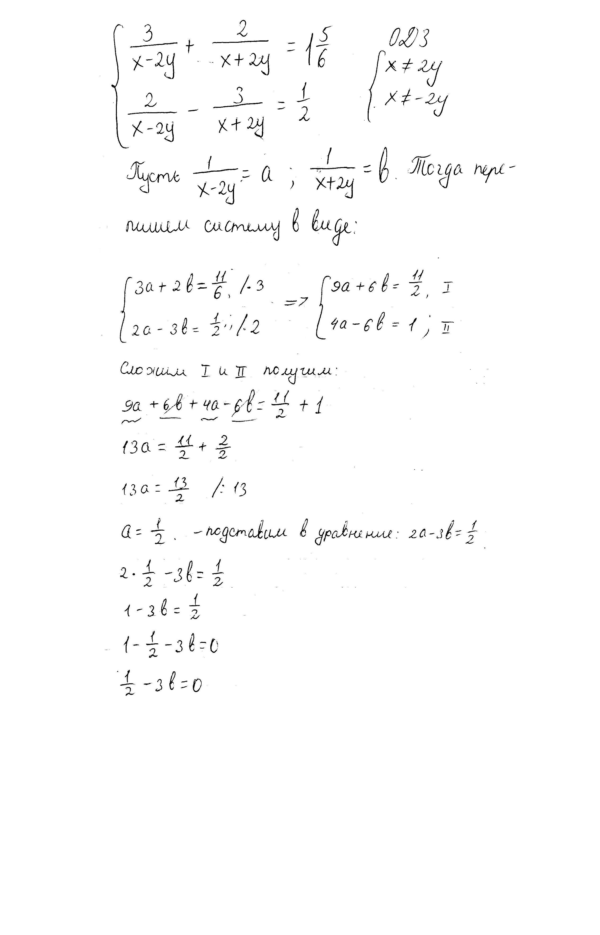
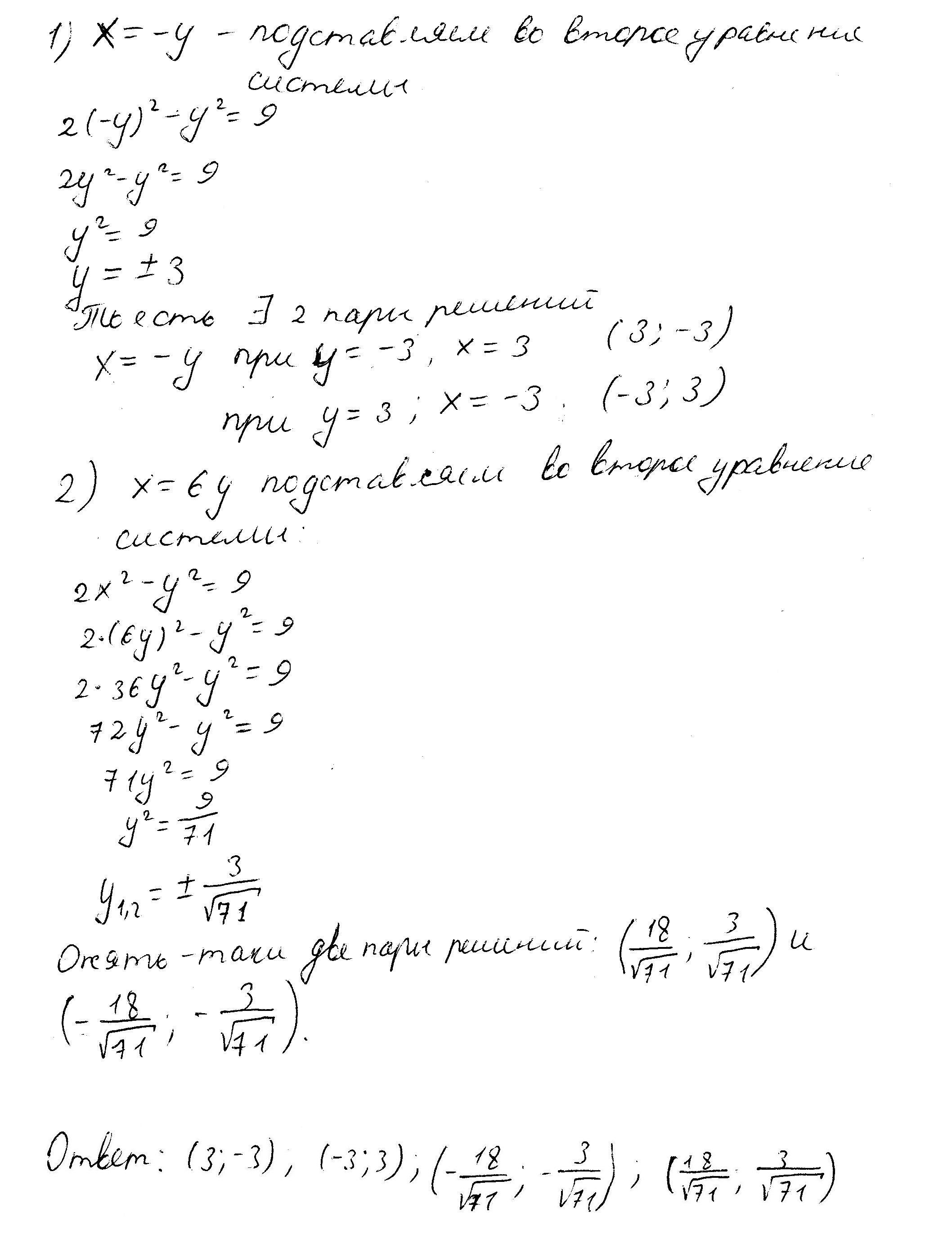
3) (3; -3); (-3; 3);
;
.
Объяснение:
Решение в приложении
Приложения:




Вас заинтересует
2 года назад
2 года назад
3 года назад
8 лет назад
8 лет назад
9 лет назад
9 лет назад