• Предмет: Алгебра
  • Автор: YuukuSvoboda
  • Вопрос задан 8 лет назад

Помогите решить!
Заранее спасибо!!!!!!!!!!!!!!

Приложения:

Ответы

Ответ дал: taisasnitko
0

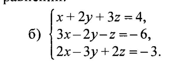
Ответ:                {x+2y+3z=4,

                            3x-2y-z=-6,              

                            2x-3y+2z=-3;  

Объяснение:{   x+2y+3z=4,      1×(-3)+2 (1-ое ур-ие ×на(-3) и складываем

                            -8y-10z=-18         с ур-ем 2,т.е. уничтожаем х в (2)  и по    

                            -7y-4z=-11.                лучим 2-ую систему и дальше сво-  

{x+2y+3z=4,                                           дим ее к треугольному виду.    

   y+6z=7     (3)-(2)

  7y+4z=11.

{x+2y+3z=4,

    y+6z=7       2·( -7)+3

   -38z=-38.

{x+2y+3z=4,

y+6z=7        

    z=1.                        имеем,z=1,y=1,x= -1.  

       

Ответ дал: YuukuSvoboda
0
Объясните пожалуйста концовку
Вас заинтересует