Ответы
Ответ дал:
0
Ответ:
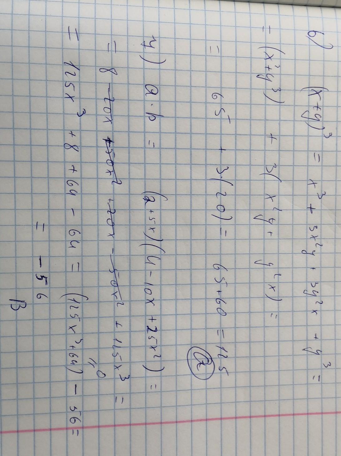
6.А) 125; 7.В) 56 по моему так
Ответ дал:
0
можно с решением пожалуйста
Ответ дал:
0
Ответ:
6)а 125 7)в - 56
Пошаговое объяснение:
Всё просто, держи
Приложения:

Ответ дал:
0
спасибо большое
Вас заинтересует
2 года назад
2 года назад
3 года назад
3 года назад
8 лет назад
8 лет назад
9 лет назад