Ответы
Ответ дал:
0
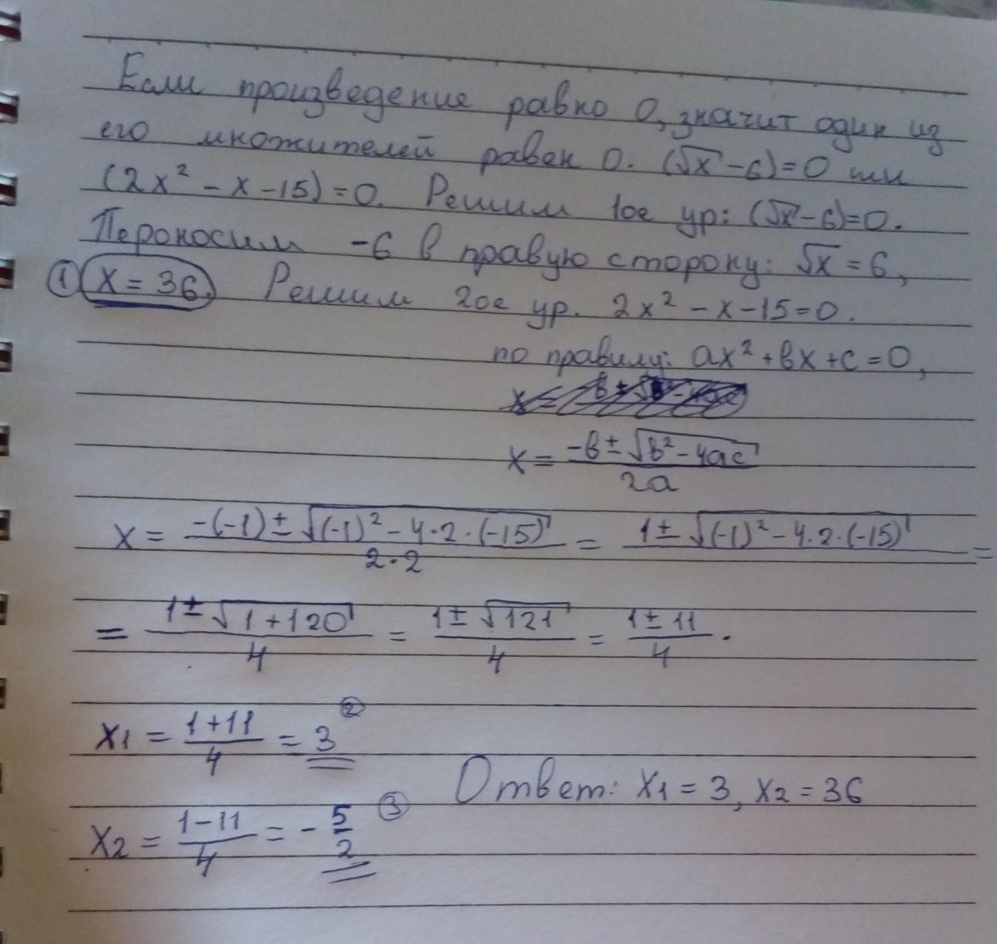
Вот решение, там ещё можно сделать проверку, правильные ли корни, но я не стала, эти корни точно верны, если что
Приложения:
Вас заинтересует
2 года назад
3 года назад
9 лет назад
9 лет назад
10 лет назад