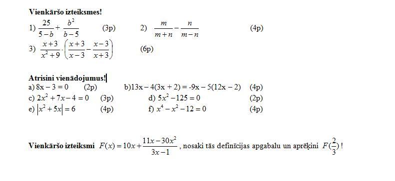
1. Упростить выражения.
2. Решить уравнения.
3. Упростить выражение, определить область определения и вычисления.
4. Выбрать правильное утверждение.
5. Рассчитать.
6. Определить область определения функции.
7. Построить функциональные графики, написать названия, определить область определения, диапазон значений и монотонность.
Помогите чем можете :с Заранее огромное спасибо!!
Приложения:



Ответа на этот вопрос пока нет. Попробуйте найти его через форму поиска.
Вас заинтересует
2 года назад
2 года назад
3 года назад
3 года назад
8 лет назад
9 лет назад