• Предмет: Алгебра
  • Автор: bix90023
  • Вопрос задан 8 лет назад

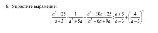
ПОМОГИТЕ СОЧ АЛГЕБРА 7 КЛАСС ПОЖАЛУЙСТА УПРОСТИТЕ ВЫРАЖЕНИЕ

Приложения:

Ответы

Ответ дал: 24thavenue
0

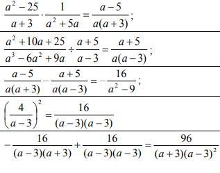
решение ниже в прикрепленном вложении

Приложения:
Ответ дал: MizoriesKun
0
все по действиям . молодец
Вас заинтересует