Решите с помощью системы уравнений!
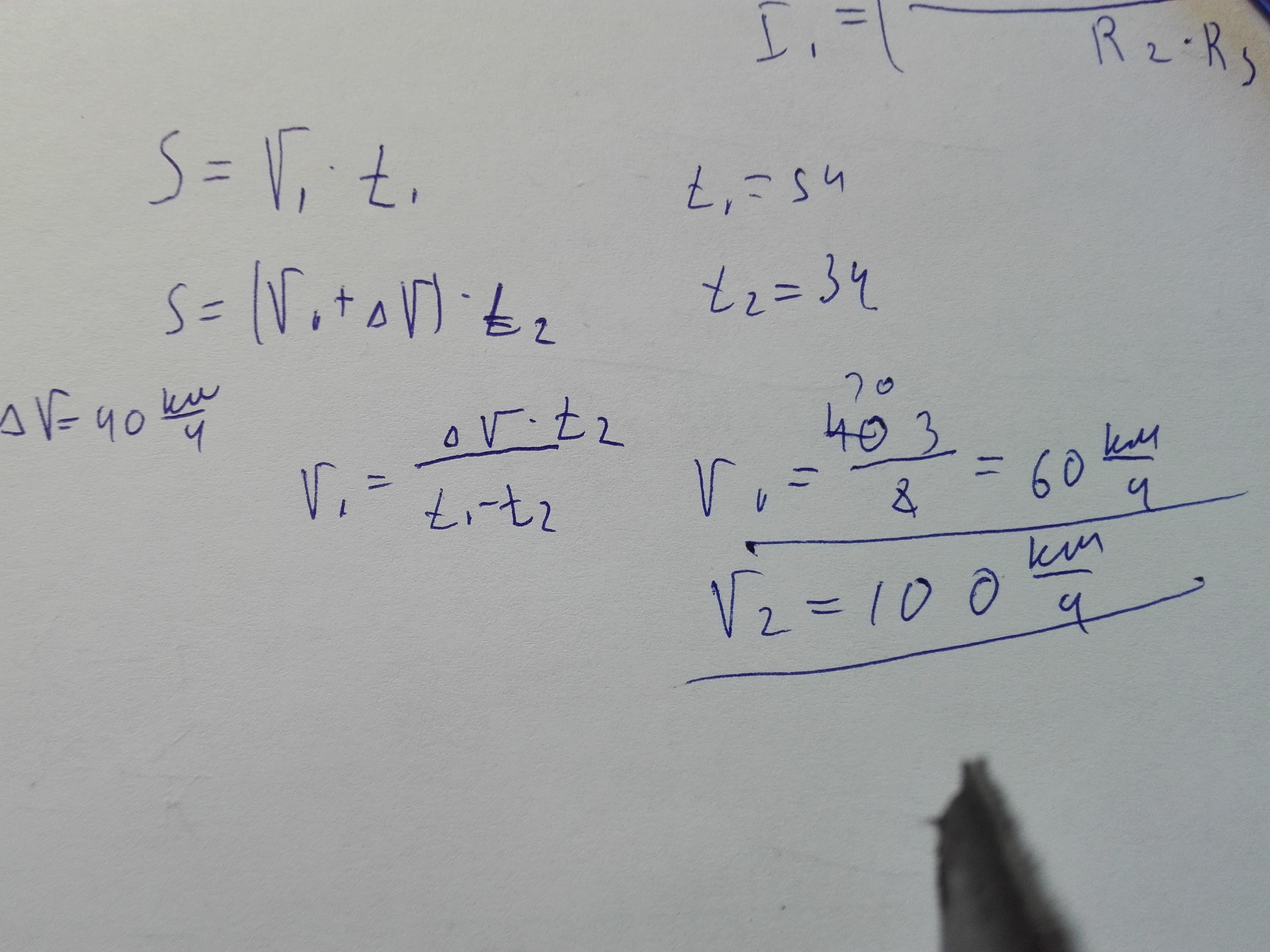
Легковой автомобиль за 3 часа проехал то же расстояние,что и грузовой за 5 часов. Найдите их скорости,если известно,что легковой автомобиль двигался на 40 км/ч быстрее грузового.
Пожалуйста помогите,у меня есть 10 минут!
Ответы
Ответ дал:
0
Ответ:
Пошаговое объяснение:
На рисунке показано
Приложения:

Вас заинтересует
2 года назад
3 года назад
3 года назад
8 лет назад
9 лет назад